The building of IEC 61850
At present, nearly 90% of the substation automation monitoring architecture adopt remote terminal units (RTUs), and most of the power meters, IEDs and RTUs use communication protocol DNP3.0. The monitoring architecture of the other substations adopt Local SCADA and gateway. The communication protocols between the gateways and IEDs are different (Modbus, DNP, LON, Profibus, etc.). The main function of these two substation automation methods is updating the real-time operation information in substation to the control center for dispatching (vertical communication), while the information cannot be exchanged horizontally between substations.
The full name of the IEC 61850 standard is “Communication networks and systems for power utility automation.” The latest version, Edition 2, is an internationally accepted power automation standard that conforms to the future development trend of smart grids. Its main purpose is to provide the interoperability between different brands of IEDs.

Figure 1. SCADA-HMI

Figure 2. Switch and gateway
In addition, the substation automation following the IEC 61850 monitoring architecture (shown as Figures 1 to 4) is also beneficial for the improvement of the reliability of power supply. This architecture provides a platform for horizontal communication (GOOSE) of automated equipment in the substation (shown as Figure 5), enabling various equipment that enables to complete the application scenario of protection and operation in power system.

Figure 3. MCC IED

Figure 4. PMCC IED

Figure 5. Switch and gateway
3-1 GOOSE Application of Simultaneous Accidents between Two Feeder Lines in compliant with IEC61850 Substation
A. Abstract
The application of smart grids in the field of power transmission and transformation is mainly on the construction of substation automation based on the internationally accepted IEC 61850 standard. Intelligent electronic devices (IED) are the basic elements of digital automation substations, providing the protection, measurement, control and communication functions required by the system, and the GOOSE function which transmit events fast is used to transmit important instantaneous command signals between multiple IEDs. For this reason, the digital network communication is the substitute for the hard-wired control loop between traditional devices to achieve IEDs interoperability. In order to solve the problem of protection coordination difficulty caused by the simultaneous failure of the common feeders, which caused cross-zone tripping, the GOOSE information can be used to detect the IED trip protection logic to speed up feeder tripping, which strengthen the protection coordination between upstream IEDs and downstream IEDs, speed up the IED tripping on fault feeder to isolate the fault and reduce the scope of power failure.B. Construction
Taking the 11.95kV BUS devices in Figure 6 as an example, there are MCB, CB1, CB2, CB3, and CB4, five circuit breakers. Among them, the CB1, CB2, CB3, and CB4 are feeder circuit breakers, and their IEDs planning GOOSE command accelerates CB tripping.

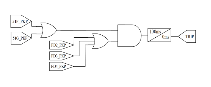
Logical summary description:
When any two feeders have a fault current at the same time, the two feeders will speed up immediately after judging the 6-cycle stable delay (you don’t need to wait for the 51 / 51N relay delay-end and tripping). It can avoid simultaneous failure of the two feeders’ fault current smaller than the fault situation of a single feeder that makes 51 / 51N relay take a long time to operate, which causes the MCB’s 51 / 51N action to trip. The relevant logic plan is as follows:

Accelerated trip logic:
Once a fault occurs on the CB1 feeder, when the 51 / 51N relay pickup and the IED have received the pickup Goose signal from other feeders in the same bank, if more than two feeders fail at the same time, a large current will be generated in MAIN, causing MAIN’s IED to start tripping, causing incorrect trips and expanding power outages.
In order to prevent this phenomenon, when two or more feeders fail at the same time, we use the GOOSE on the IEDs of each feeder to transfer the PKP to each IED on faulted feeder, determining that when the two feeders fail at the same time should be delayed and tripping after 6 cycles to prevent MAIN CB tripping due to large currents first, causing a power outage on the sound feeder.
When more than two feeders have fault occurred at the same time, we accelerate the accidental feeder trip to avoid the action of the main circuit breaker, reducing the scope of power outages and improve the efficiency of power supply.